Home - Products - Store - Technology - Techniques - Links - Downloads - Contact

 

"The Reality About Pixels"

The Fundamental Panorama Equations

Perspective Images

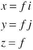
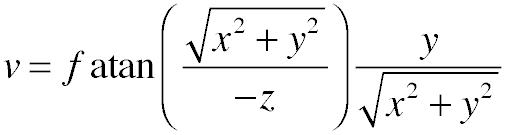
Fundamental Rendering Equations: 3D to 2D

where i and j are the coordinates of the pixel relative to the center of the image, and x, y, and z are their coordinates in 3D.

Fundamental Authoring Equations: 2D to 3D

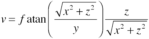
where f is the focal length in pixels.


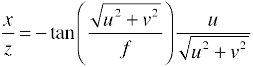
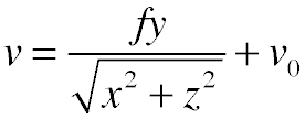
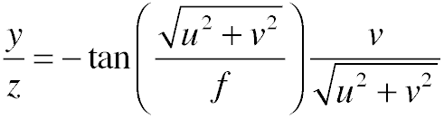
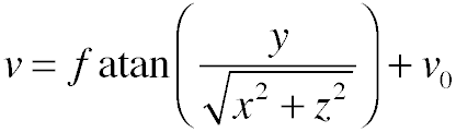
Cylindrical Images

Fundamental Rendering Equations: 3D to 2D

where v0 is the coordinate of the equator.

Fundamental Authoring Equations: 2D to 3D


Equirectangular Spherical Images

Fundamental Rendering Equations: 3D to 2D

Fundamental Authoring Equations: 2D to 3D


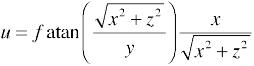
Equatorial Fisheye Images

Fundamental Rendering Equations: 3D to 2D

Fundamental Authoring Equations: 2D to 3D


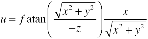
Polar Fisheye Images

Fundamental Rendering Equations: 3D to 2D

Fundamental Authoring Equations: 2D to 3D